Bài tập Robot số

Bài tập Robot số

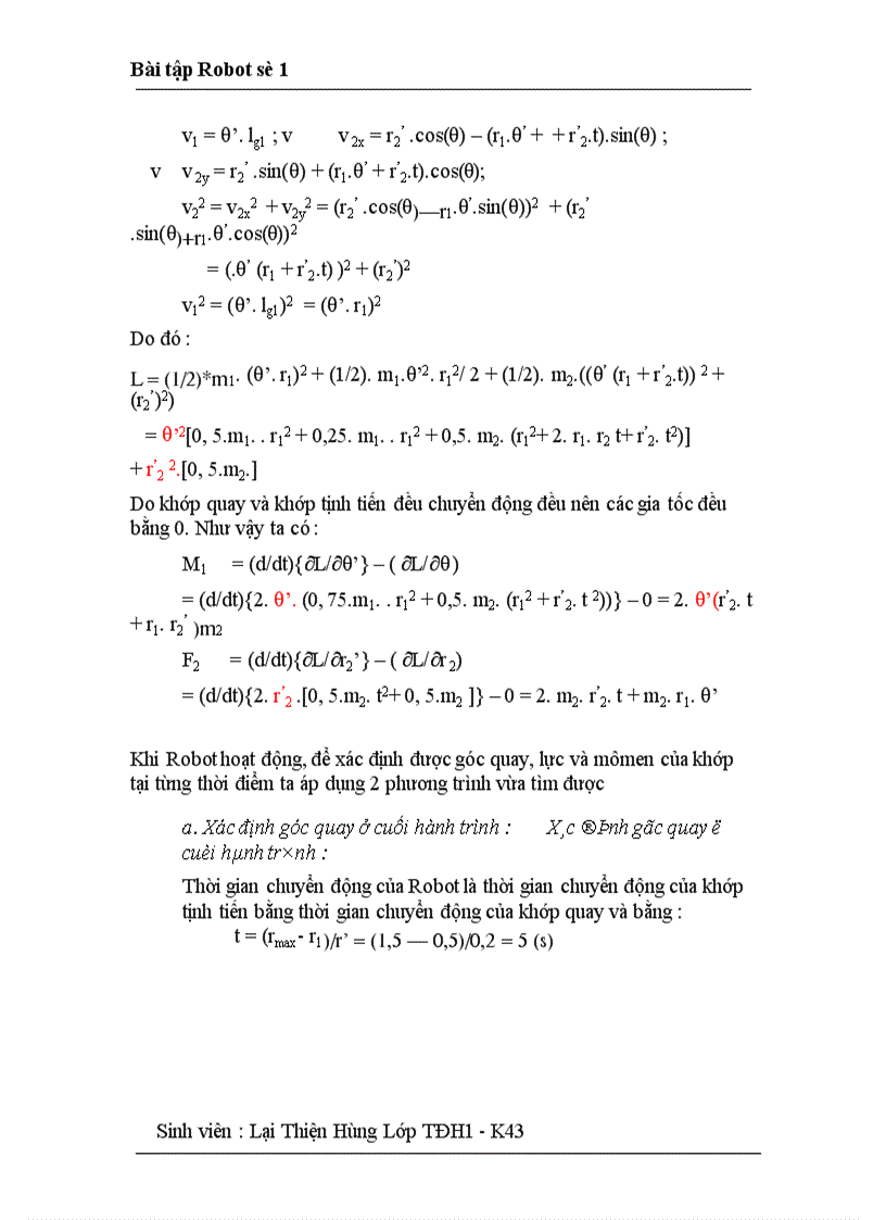
Tài liệu "Bài tập Robot số" có mã là 47702, file định dạng docx, có 10 trang, dung lượng file 106 kb. Tài liệu thuộc chuyên mục: Luận văn đồ án > Kỹ thuật - Công nghệ > Tự động hóa. Tài liệu thuộc loại Đồng

image for page Bài tập Robot số
image for page Bài tập Robot số
image for page Bài tập Robot số
image for page Bài tập Robot số
image for page Bài tập Robot số
image for page Bài tập Robot số
image for page Bài tập Robot số
image for page Bài tập Robot số
image for page Bài tập Robot số
image for page Bài tập Robot số

Mã tài liệu 47702

Các chức năng trên hệ thống được hướng dẫn đầy đủ và chi tiết nhất qua các video. Bạn click vào nút bên dưới để xem.

Có thể tài liệu Bài tập Robot số sử dụng nhiều loại font chữ mà máy tính bạn chưa có.
Bạn click vào nút bên dưới để tải chương trình cài đặt bộ font chữ đầy đủ nhất cho bạn.

Nếu phần nội dung, hình ảnh ,... trong tài liệu Bài tập Robot số có liên quan đến vi phạm bản quyền, bạn vui lòng click bên dưới báo cho chúng tôi biết.

Tài liệu vừa xem