Bài tập sức bền vật liệu co biểu đồ mômen và nội lực

Bài tập sức bền vật liệu co biểu đồ mômen và nội lực

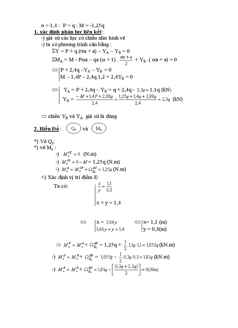
Tài liệu "Bài tập sức bền vật liệu co biểu đồ mômen và nội lực" có mã là 241549, file định dạng rar, có 4 trang, dung lượng file 35 kb. Tài liệu thuộc chuyên mục: Luận văn đồ án > Kỹ thuật - Công nghệ > Kỹ thuật cơ khí. Tài liệu thuộc loại Đồng

image for page Bài tập sức bền vật liệu co biểu đồ mômen và nội lực
image for page Bài tập sức bền vật liệu co biểu đồ mômen và nội lực
image for page Bài tập sức bền vật liệu co biểu đồ mômen và nội lực
image for page Bài tập sức bền vật liệu co biểu đồ mômen và nội lực
liệu tập đồ vật liệu Bài co vật nội và nội Bài tập sức bền vật liệu Bài tập sức bền vật liệu co co biểu Bài tập Bài tập sức đồ mômen bền Bài tập sức bền Bài tập sức lực mômen Bài tập sức bền vật sức bền biểu

Mã tài liệu 241549

Các chức năng trên hệ thống được hướng dẫn đầy đủ và chi tiết nhất qua các video. Bạn click vào nút bên dưới để xem.

Có thể tài liệu Bài tập sức bền vật liệu co biểu đồ mômen và nội lực sử dụng nhiều loại font chữ mà máy tính bạn chưa có.
Bạn click vào nút bên dưới để tải chương trình cài đặt bộ font chữ đầy đủ nhất cho bạn.

Nếu phần nội dung, hình ảnh ,... trong tài liệu Bài tập sức bền vật liệu co biểu đồ mômen và nội lực có liên quan đến vi phạm bản quyền, bạn vui lòng click bên dưới báo cho chúng tôi biết.

Tài liệu vừa xem

Bài tập sức bền
Bài tập sức
Bài tập sức bền vật liệu
Bài tập sức bền vật liệu co
Bài tập
Bài tập sức bền vật