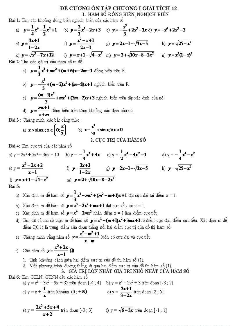
Đề cương ôn tập chương i giải tích 12 1 Hàm số đồng biến nghịch biến

Đề cương ôn tập chương i giải tích 12 1 Hàm số đồng biến nghịch biến

Tài liệu "Đề cương ôn tập chương i giải tích 12 1 Hàm số đồng biến nghịch biến" có mã là 559842, file định dạng doc, có 4 trang, dung lượng file 293 kb. Tài liệu thuộc chuyên mục: Tài liệu chuyên ngành > Chuyên Ngành Kinh Tế > Kế Toán - Kiểm Toán. Tài liệu thuộc loại Đồng

image for page Đề cương ôn tập chương i giải tích 12 1 Hàm số đồng biến nghịch biến
image for page Đề cương ôn tập chương i giải tích 12 1 Hàm số đồng biến nghịch biến
image for page Đề cương ôn tập chương i giải tích 12 1 Hàm số đồng biến nghịch biến
image for page Đề cương ôn tập chương i giải tích 12 1 Hàm số đồng biến nghịch biến
ôn Hàm tập biến i biến Đề cương ôn tập chương i nghịch chương i giải Đề cương ôn tập Đề cương ôn Hàm số Đề cương ôn tập chương Đề cương ôn tập chương i giải đồng biến Đề cương 12 1 số ôn tập đồng Đề Đề cương cương tích chương 1 nghịch biến giải tích 12

Mã tài liệu 559842

Các chức năng trên hệ thống được hướng dẫn đầy đủ và chi tiết nhất qua các video. Bạn click vào nút bên dưới để xem.

Có thể tài liệu Đề cương ôn tập chương i giải tích 12 1 Hàm số đồng biến nghịch biến sử dụng nhiều loại font chữ mà máy tính bạn chưa có.
Bạn click vào nút bên dưới để tải chương trình cài đặt bộ font chữ đầy đủ nhất cho bạn.

Nếu phần nội dung, hình ảnh ,... trong tài liệu Đề cương ôn tập chương i giải tích 12 1 Hàm số đồng biến nghịch biến có liên quan đến vi phạm bản quyền, bạn vui lòng click bên dưới báo cho chúng tôi biết.

Tài liệu vừa xem

Đề cương
Đề cương ôn tập chương
Đề cương ôn
Đề cương ôn tập chương i giải
Đề cương ôn tập chương i
Đề cương ôn tập