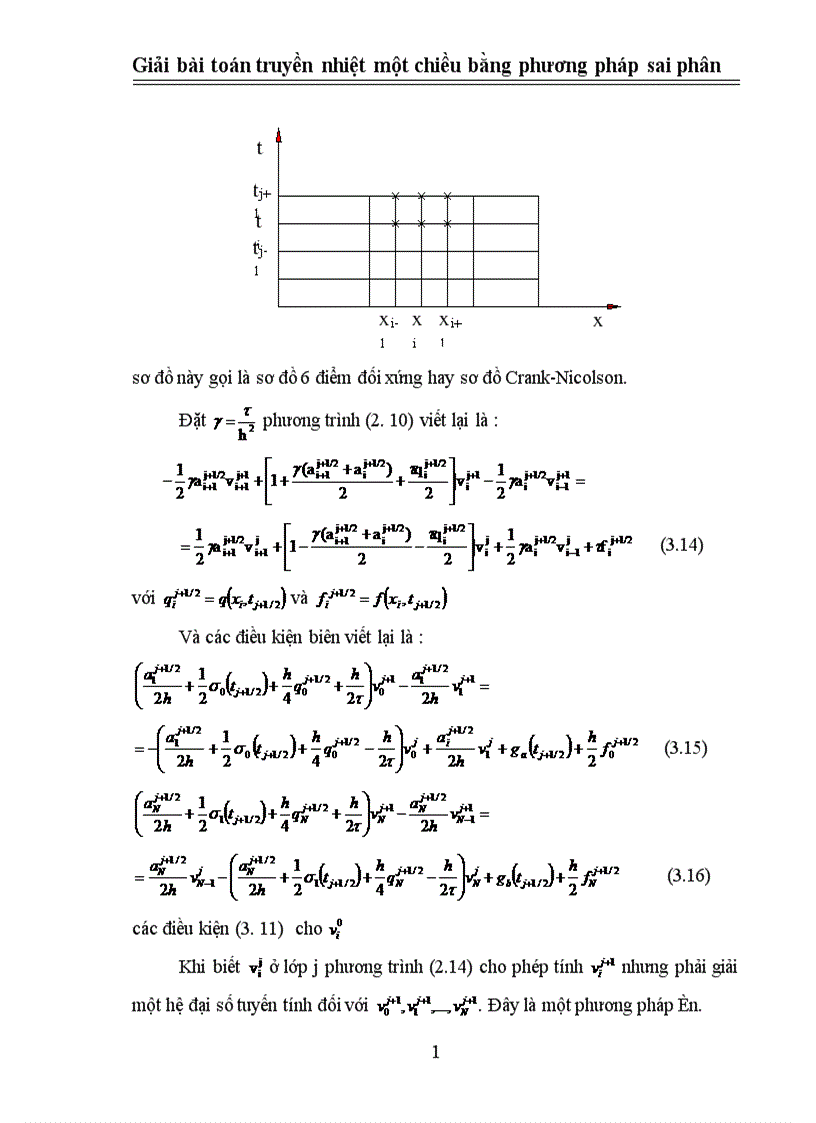
Giải bài toán truyền nhiệt một chiều bằng phương pháp sai phân 1

Giải bài toán truyền nhiệt một chiều bằng phương pháp sai phân 1

Tài liệu "Giải bài toán truyền nhiệt một chiều bằng phương pháp sai phân 1" có mã là 163622, file định dạng docx, có 49 trang, dung lượng file 747 kb. Tài liệu thuộc chuyên mục: Luận văn đồ án > Kỹ thuật - Công nghệ > Kỹ thuật nhiệt lạnh. Tài liệu thuộc loại Bạc

image for page Giải bài toán truyền nhiệt một chiều bằng phương pháp sai phân 1
image for page Giải bài toán truyền nhiệt một chiều bằng phương pháp sai phân 1
image for page Giải bài toán truyền nhiệt một chiều bằng phương pháp sai phân 1
image for page Giải bài toán truyền nhiệt một chiều bằng phương pháp sai phân 1
image for page Giải bài toán truyền nhiệt một chiều bằng phương pháp sai phân 1
image for page Giải bài toán truyền nhiệt một chiều bằng phương pháp sai phân 1
image for page Giải bài toán truyền nhiệt một chiều bằng phương pháp sai phân 1
image for page Giải bài toán truyền nhiệt một chiều bằng phương pháp sai phân 1
image for page Giải bài toán truyền nhiệt một chiều bằng phương pháp sai phân 1
image for page Giải bài toán truyền nhiệt một chiều bằng phương pháp sai phân 1
image for page Giải bài toán truyền nhiệt một chiều bằng phương pháp sai phân 1
image for page Giải bài toán truyền nhiệt một chiều bằng phương pháp sai phân 1
image for page Giải bài toán truyền nhiệt một chiều bằng phương pháp sai phân 1
image for page Giải bài toán truyền nhiệt một chiều bằng phương pháp sai phân 1
image for page Giải bài toán truyền nhiệt một chiều bằng phương pháp sai phân 1
image for page Giải bài toán truyền nhiệt một chiều bằng phương pháp sai phân 1
image for page Giải bài toán truyền nhiệt một chiều bằng phương pháp sai phân 1
image for page Giải bài toán truyền nhiệt một chiều bằng phương pháp sai phân 1
image for page Giải bài toán truyền nhiệt một chiều bằng phương pháp sai phân 1
image for page Giải bài toán truyền nhiệt một chiều bằng phương pháp sai phân 1
image for page Giải bài toán truyền nhiệt một chiều bằng phương pháp sai phân 1
image for page Giải bài toán truyền nhiệt một chiều bằng phương pháp sai phân 1
image for page Giải bài toán truyền nhiệt một chiều bằng phương pháp sai phân 1
image for page Giải bài toán truyền nhiệt một chiều bằng phương pháp sai phân 1
image for page Giải bài toán truyền nhiệt một chiều bằng phương pháp sai phân 1
image for page Giải bài toán truyền nhiệt một chiều bằng phương pháp sai phân 1
image for page Giải bài toán truyền nhiệt một chiều bằng phương pháp sai phân 1
image for page Giải bài toán truyền nhiệt một chiều bằng phương pháp sai phân 1
image for page Giải bài toán truyền nhiệt một chiều bằng phương pháp sai phân 1
image for page Giải bài toán truyền nhiệt một chiều bằng phương pháp sai phân 1
image for page Giải bài toán truyền nhiệt một chiều bằng phương pháp sai phân 1
image for page Giải bài toán truyền nhiệt một chiều bằng phương pháp sai phân 1
image for page Giải bài toán truyền nhiệt một chiều bằng phương pháp sai phân 1
image for page Giải bài toán truyền nhiệt một chiều bằng phương pháp sai phân 1
image for page Giải bài toán truyền nhiệt một chiều bằng phương pháp sai phân 1
image for page Giải bài toán truyền nhiệt một chiều bằng phương pháp sai phân 1
image for page Giải bài toán truyền nhiệt một chiều bằng phương pháp sai phân 1
image for page Giải bài toán truyền nhiệt một chiều bằng phương pháp sai phân 1
image for page Giải bài toán truyền nhiệt một chiều bằng phương pháp sai phân 1
image for page Giải bài toán truyền nhiệt một chiều bằng phương pháp sai phân 1
image for page Giải bài toán truyền nhiệt một chiều bằng phương pháp sai phân 1
image for page Giải bài toán truyền nhiệt một chiều bằng phương pháp sai phân 1
image for page Giải bài toán truyền nhiệt một chiều bằng phương pháp sai phân 1
image for page Giải bài toán truyền nhiệt một chiều bằng phương pháp sai phân 1
phân Giải Giải bài toán truyền nhiệt một chiều chiều bằng phương pháp một toán Giải bài toán sai phân Giải bài sai pháp truyền phương Giải bài toán truyền nhiệt một toán truyền Giải bài chiều Giải bài toán truyền nhiệt một bài Giải bài toán truyền nhiệt bằng 1 nhiệt

Mã tài liệu 163622

Các chức năng trên hệ thống được hướng dẫn đầy đủ và chi tiết nhất qua các video. Bạn click vào nút bên dưới để xem.

Có thể tài liệu Giải bài toán truyền nhiệt một chiều bằng phương pháp sai phân 1 sử dụng nhiều loại font chữ mà máy tính bạn chưa có.
Bạn click vào nút bên dưới để tải chương trình cài đặt bộ font chữ đầy đủ nhất cho bạn.

Nếu phần nội dung, hình ảnh ,... trong tài liệu Giải bài toán truyền nhiệt một chiều bằng phương pháp sai phân 1 có liên quan đến vi phạm bản quyền, bạn vui lòng click bên dưới báo cho chúng tôi biết.

Tài liệu vừa xem

Giải bài toán
Giải bài toán truyền nhiệt một chiều
Giải bài toán truyền nhiệt
Giải bài
Giải bài toán truyền
Giải bài toán truyền nhiệt một