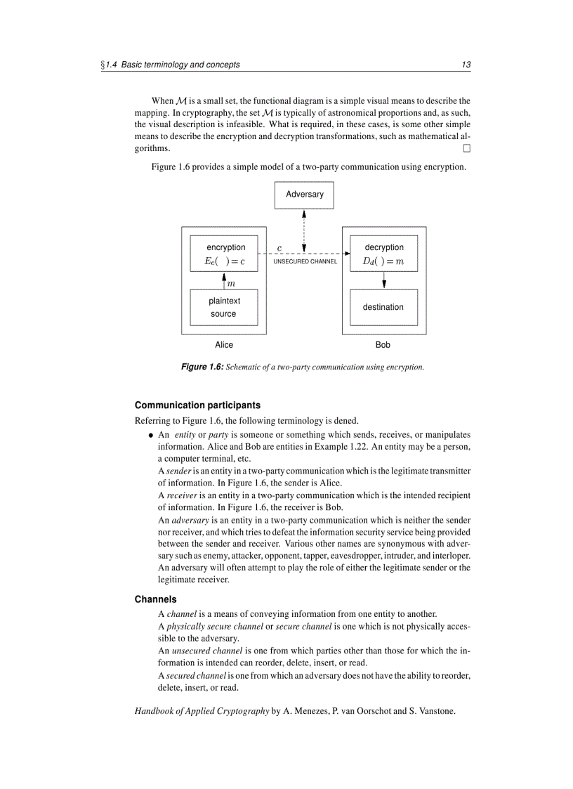
Handbook of Applied Cryptography

Handbook of Applied Cryptography

Tài liệu "Handbook of Applied Cryptography" có mã là 190631, file định dạng rar, có 728 trang, dung lượng file 4,296 kb. Tài liệu thuộc chuyên mục: Luận văn đồ án > Kỹ thuật - Công nghệ. Tài liệu thuộc loại Bạc

image for page Handbook of Applied Cryptography
image for page Handbook of Applied Cryptography
image for page Handbook of Applied Cryptography
image for page Handbook of Applied Cryptography
image for page Handbook of Applied Cryptography
image for page Handbook of Applied Cryptography
image for page Handbook of Applied Cryptography
image for page Handbook of Applied Cryptography
image for page Handbook of Applied Cryptography
image for page Handbook of Applied Cryptography
image for page Handbook of Applied Cryptography
image for page Handbook of Applied Cryptography
image for page Handbook of Applied Cryptography
image for page Handbook of Applied Cryptography
image for page Handbook of Applied Cryptography
image for page Handbook of Applied Cryptography
image for page Handbook of Applied Cryptography
image for page Handbook of Applied Cryptography
image for page Handbook of Applied Cryptography
image for page Handbook of Applied Cryptography
image for page Handbook of Applied Cryptography
image for page Handbook of Applied Cryptography
image for page Handbook of Applied Cryptography
image for page Handbook of Applied Cryptography
image for page Handbook of Applied Cryptography
image for page Handbook of Applied Cryptography
image for page Handbook of Applied Cryptography
image for page Handbook of Applied Cryptography
image for page Handbook of Applied Cryptography
image for page Handbook of Applied Cryptography
image for page Handbook of Applied Cryptography
image for page Handbook of Applied Cryptography
image for page Handbook of Applied Cryptography
image for page Handbook of Applied Cryptography
image for page Handbook of Applied Cryptography
image for page Handbook of Applied Cryptography
image for page Handbook of Applied Cryptography

Mã tài liệu 190631

Các chức năng trên hệ thống được hướng dẫn đầy đủ và chi tiết nhất qua các video. Bạn click vào nút bên dưới để xem.

Có thể tài liệu Handbook of Applied Cryptography sử dụng nhiều loại font chữ mà máy tính bạn chưa có.
Bạn click vào nút bên dưới để tải chương trình cài đặt bộ font chữ đầy đủ nhất cho bạn.

Nếu phần nội dung, hình ảnh ,... trong tài liệu Handbook of Applied Cryptography có liên quan đến vi phạm bản quyền, bạn vui lòng click bên dưới báo cho chúng tôi biết.

Tài liệu vừa xem