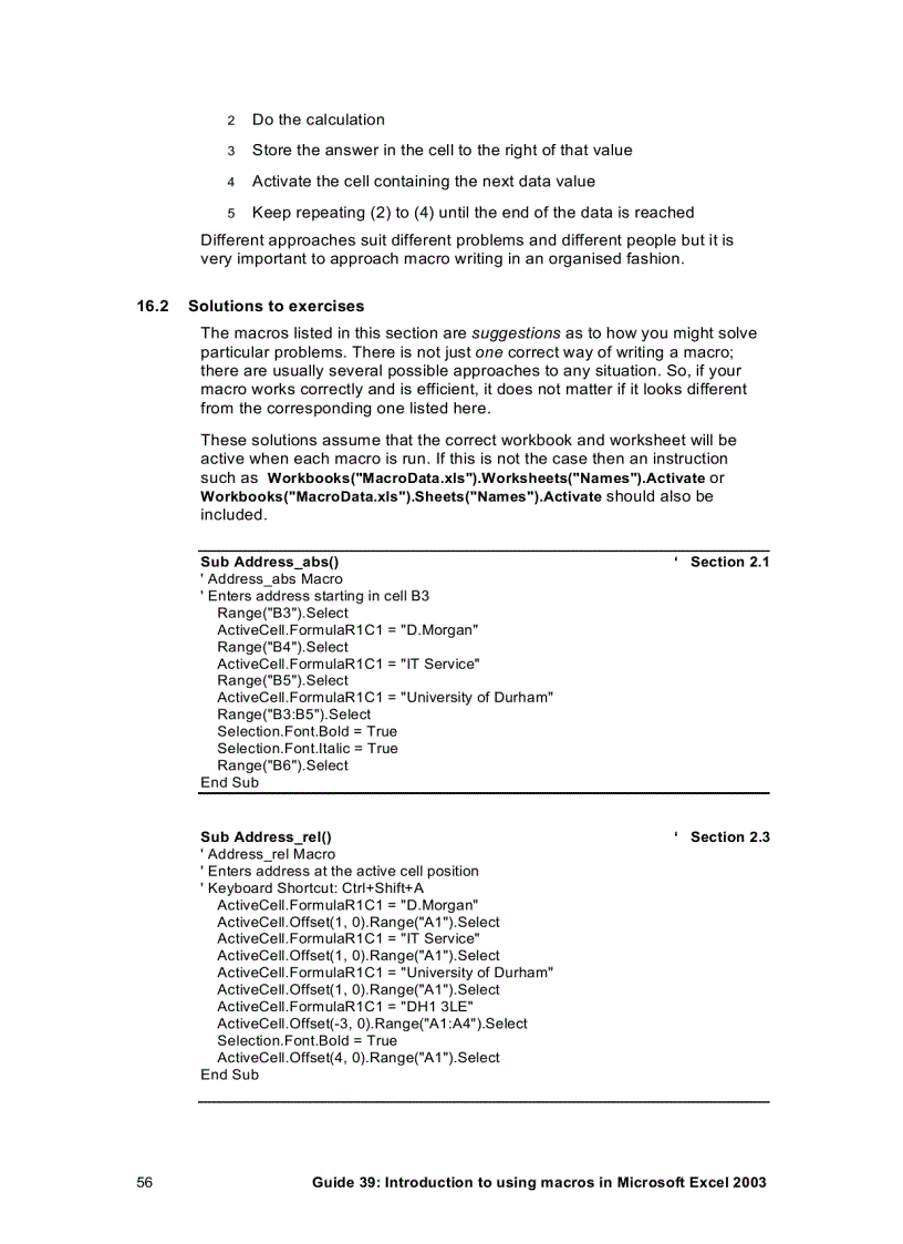
Introduction to using Macros in Microsoft Excel 2003

Introduction to using Macros in Microsoft Excel 2003

Tài liệu "Introduction to using Macros in Microsoft Excel 2003" có mã là 189305, file định dạng pdf, có 63 trang, dung lượng file 1,398 kb. Tài liệu thuộc chuyên mục: Luận văn đồ án > Kỹ thuật - Công nghệ. Tài liệu thuộc loại Bạc

image for page Introduction to using Macros in Microsoft Excel 2003
image for page Introduction to using Macros in Microsoft Excel 2003
image for page Introduction to using Macros in Microsoft Excel 2003
image for page Introduction to using Macros in Microsoft Excel 2003
image for page Introduction to using Macros in Microsoft Excel 2003
image for page Introduction to using Macros in Microsoft Excel 2003
image for page Introduction to using Macros in Microsoft Excel 2003
image for page Introduction to using Macros in Microsoft Excel 2003
image for page Introduction to using Macros in Microsoft Excel 2003
image for page Introduction to using Macros in Microsoft Excel 2003
image for page Introduction to using Macros in Microsoft Excel 2003
image for page Introduction to using Macros in Microsoft Excel 2003
image for page Introduction to using Macros in Microsoft Excel 2003
image for page Introduction to using Macros in Microsoft Excel 2003
image for page Introduction to using Macros in Microsoft Excel 2003
image for page Introduction to using Macros in Microsoft Excel 2003
image for page Introduction to using Macros in Microsoft Excel 2003
image for page Introduction to using Macros in Microsoft Excel 2003
image for page Introduction to using Macros in Microsoft Excel 2003
image for page Introduction to using Macros in Microsoft Excel 2003
image for page Introduction to using Macros in Microsoft Excel 2003
image for page Introduction to using Macros in Microsoft Excel 2003
image for page Introduction to using Macros in Microsoft Excel 2003
image for page Introduction to using Macros in Microsoft Excel 2003
image for page Introduction to using Macros in Microsoft Excel 2003
in Microsoft Excel Microsoft to Introduction to using Macros in Microsoft Excel using Introduction to Macros Introduction to using Excel 2003 Introduction to Introduction to using Macros 2003 using Macros Introduction Introduction to using Macros in Introduction to using Macros in Microsoft in

Mã tài liệu 189305

Các chức năng trên hệ thống được hướng dẫn đầy đủ và chi tiết nhất qua các video. Bạn click vào nút bên dưới để xem.

Có thể tài liệu Introduction to using Macros in Microsoft Excel 2003 sử dụng nhiều loại font chữ mà máy tính bạn chưa có.
Bạn click vào nút bên dưới để tải chương trình cài đặt bộ font chữ đầy đủ nhất cho bạn.

Nếu phần nội dung, hình ảnh ,... trong tài liệu Introduction to using Macros in Microsoft Excel 2003 có liên quan đến vi phạm bản quyền, bạn vui lòng click bên dưới báo cho chúng tôi biết.

Tài liệu vừa xem

Introduction to using Macros in Microsoft Excel
Introduction to using Macros in
Introduction to using Macros
Introduction to
Introduction to using
Introduction to using Macros in Microsoft