Mối quan hệ của nhị thức và phân phối poisson

Mối quan hệ của nhị thức và phân phối poisson

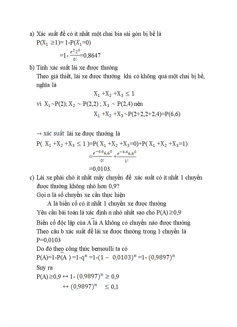
Tài liệu "Mối quan hệ của nhị thức và phân phối poisson" có mã là 218295, file định dạng doc, có 5 trang, dung lượng file 879 kb. Tài liệu thuộc chuyên mục: Luận văn đồ án > Tổng hợp. Tài liệu thuộc loại Đồng

image for page Mối quan hệ của nhị thức và phân phối poisson
image for page Mối quan hệ của nhị thức và phân phối poisson
image for page Mối quan hệ của nhị thức và phân phối poisson
image for page Mối quan hệ của nhị thức và phân phối poisson
image for page Mối quan hệ của nhị thức và phân phối poisson
hệ của phân nhị Mối quan hệ của nhị thức thức phối nhị thức phối poisson Mối quan Mối quan hệ hệ Mối Mối quan hệ của nhị thức và Mối quan hệ của poisson Mối quan hệ của nhị quan Mối quan và phân của

Mã tài liệu 218295

Các chức năng trên hệ thống được hướng dẫn đầy đủ và chi tiết nhất qua các video. Bạn click vào nút bên dưới để xem.

Có thể tài liệu Mối quan hệ của nhị thức và phân phối poisson sử dụng nhiều loại font chữ mà máy tính bạn chưa có.
Bạn click vào nút bên dưới để tải chương trình cài đặt bộ font chữ đầy đủ nhất cho bạn.

Nếu phần nội dung, hình ảnh ,... trong tài liệu Mối quan hệ của nhị thức và phân phối poisson có liên quan đến vi phạm bản quyền, bạn vui lòng click bên dưới báo cho chúng tôi biết.

Tài liệu vừa xem

Mối quan hệ
Mối quan hệ của nhị
Mối quan hệ của
Mối quan hệ của nhị thức
Mối quan
Mối quan hệ của nhị thức và