Nghiên cứu động học robot sáu bậc tự do kiểu robot PUMA

Nghiên cứu động học robot sáu bậc tự do kiểu robot PUMA

Tài liệu "Nghiên cứu động học robot sáu bậc tự do kiểu robot PUMA" có mã là 241432, file định dạng doc, có 11 trang, dung lượng file 522 kb. Tài liệu thuộc chuyên mục: Luận văn đồ án > Kỹ thuật - Công nghệ > Kỹ thuật điện - điện tử. Tài liệu thuộc loại Đồng

image for page Nghiên cứu động học robot sáu bậc tự do kiểu robot PUMA
image for page Nghiên cứu động học robot sáu bậc tự do kiểu robot PUMA
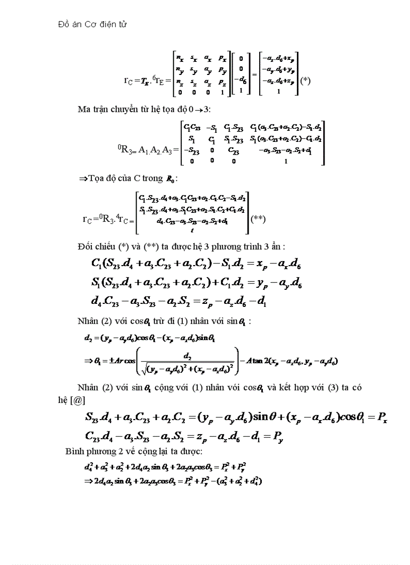
image for page Nghiên cứu động học robot sáu bậc tự do kiểu robot PUMA
image for page Nghiên cứu động học robot sáu bậc tự do kiểu robot PUMA
image for page Nghiên cứu động học robot sáu bậc tự do kiểu robot PUMA
image for page Nghiên cứu động học robot sáu bậc tự do kiểu robot PUMA
image for page Nghiên cứu động học robot sáu bậc tự do kiểu robot PUMA
image for page Nghiên cứu động học robot sáu bậc tự do kiểu robot PUMA
image for page Nghiên cứu động học robot sáu bậc tự do kiểu robot PUMA
image for page Nghiên cứu động học robot sáu bậc tự do kiểu robot PUMA
image for page Nghiên cứu động học robot sáu bậc tự do kiểu robot PUMA
Nghiên cứu động học robot sáu bậc Nghiên cứu động học Nghiên cứu Nghiên cứu động kiểu tự do Nghiên cứu động học robot sáu bậc Nghiên robot robot sáu Nghiên cứu động học robot Nghiên cứu động học do kiểu sáu robot động cứu bậc tự PUMA robot PUMA học

Mã tài liệu 241432

Các chức năng trên hệ thống được hướng dẫn đầy đủ và chi tiết nhất qua các video. Bạn click vào nút bên dưới để xem.

Có thể tài liệu Nghiên cứu động học robot sáu bậc tự do kiểu robot PUMA sử dụng nhiều loại font chữ mà máy tính bạn chưa có.
Bạn click vào nút bên dưới để tải chương trình cài đặt bộ font chữ đầy đủ nhất cho bạn.

Nếu phần nội dung, hình ảnh ,... trong tài liệu Nghiên cứu động học robot sáu bậc tự do kiểu robot PUMA có liên quan đến vi phạm bản quyền, bạn vui lòng click bên dưới báo cho chúng tôi biết.

Tài liệu vừa xem

Nghiên cứu động học robot sáu
Nghiên cứu
Nghiên cứu động học robot
Nghiên cứu động
Nghiên cứu động học
Nghiên cứu động học robot sáu bậc