Phương án móng băng

Phương án móng băng

Tài liệu "Phương án móng băng" có mã là 307888, file định dạng doc, có 16 trang, dung lượng file 1,026 kb. Tài liệu thuộc chuyên mục: Luận văn đồ án > Kỹ thuật - Công nghệ > Kỹ thuật công trình xây dựng. Tài liệu thuộc loại Đồng

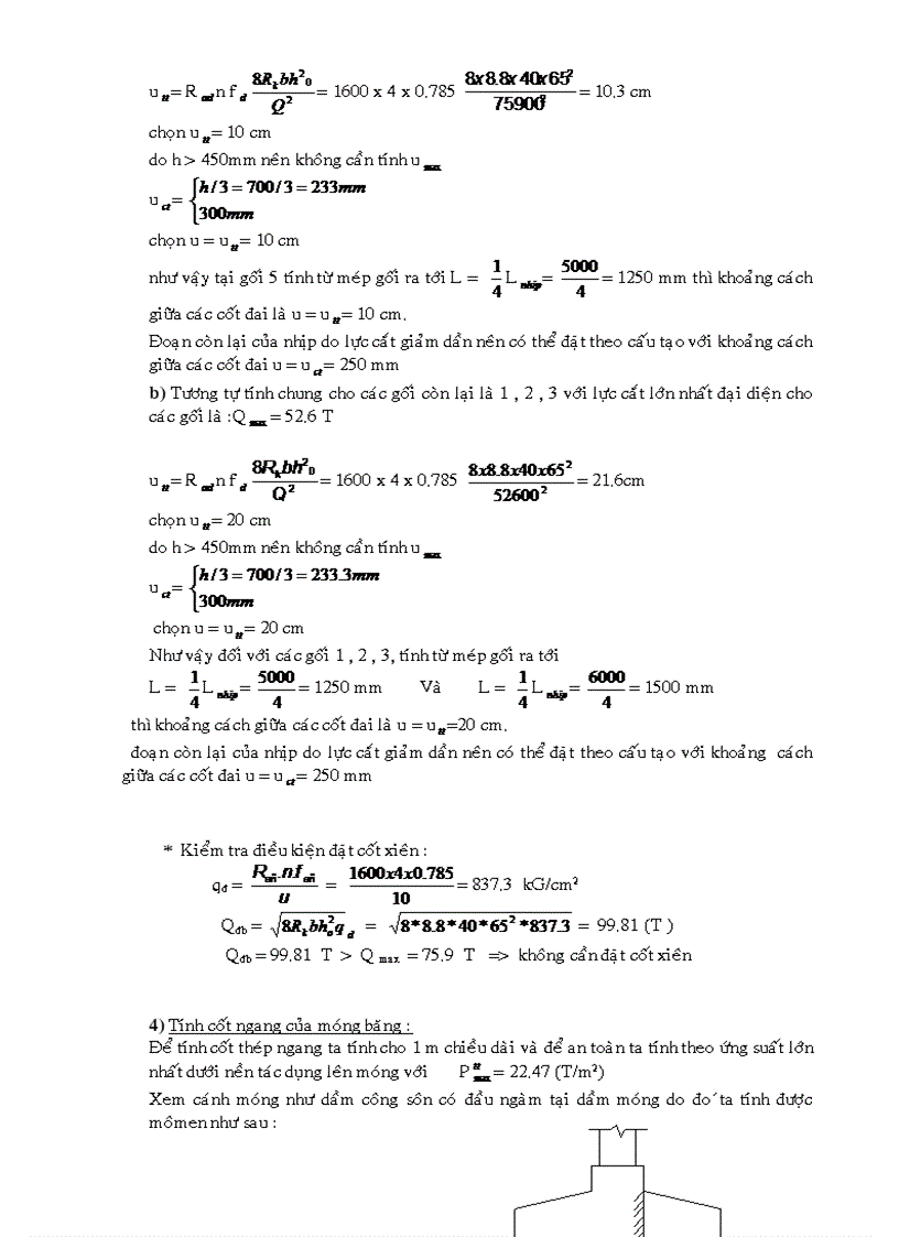
image for page Phương án móng băng
image for page Phương án móng băng
image for page Phương án móng băng
image for page Phương án móng băng
image for page Phương án móng băng
image for page Phương án móng băng
image for page Phương án móng băng
image for page Phương án móng băng
image for page Phương án móng băng
image for page Phương án móng băng
image for page Phương án móng băng
image for page Phương án móng băng
image for page Phương án móng băng
image for page Phương án móng băng
image for page Phương án móng băng

Mã tài liệu 307888

Các chức năng trên hệ thống được hướng dẫn đầy đủ và chi tiết nhất qua các video. Bạn click vào nút bên dưới để xem.

Có thể tài liệu Phương án móng băng sử dụng nhiều loại font chữ mà máy tính bạn chưa có.
Bạn click vào nút bên dưới để tải chương trình cài đặt bộ font chữ đầy đủ nhất cho bạn.

Nếu phần nội dung, hình ảnh ,... trong tài liệu Phương án móng băng có liên quan đến vi phạm bản quyền, bạn vui lòng click bên dưới báo cho chúng tôi biết.

Tài liệu vừa xem