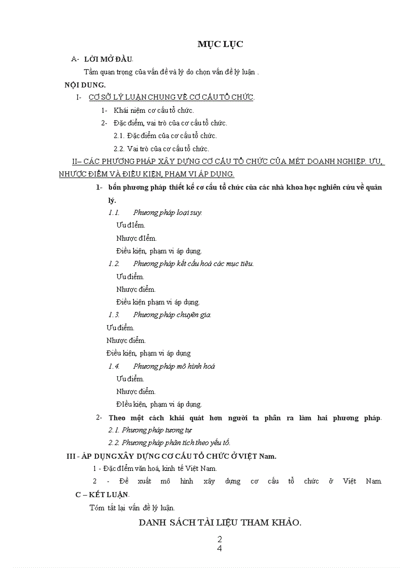
Phương pháp xây dựng cơ cấu tổ chức của một doanh nghiệp. Ưu, nhược điểm và điều kiện phạm vi áp dụng.

Phương pháp xây dựng cơ cấu tổ chức của một doanh nghiệp. Ưu, nhược điểm và điều kiện phạm vi áp dụng.

Tài liệu "Phương pháp xây dựng cơ cấu tổ chức của một doanh nghiệp. Ưu, nhược điểm và điều kiện phạm vi áp dụng." có mã là 90807, file định dạng docx, có 13 trang, dung lượng file 22 kb. Tài liệu thuộc chuyên mục: Luận văn đồ án > Kinh tế > Quản trị doanh nghiệp. Tài liệu thuộc loại Đồng

image for page Phương pháp xây dựng cơ cấu tổ chức của một doanh nghiệp. Ưu, nhược điểm và điều kiện phạm vi áp dụng.
image for page Phương pháp xây dựng cơ cấu tổ chức của một doanh nghiệp. Ưu, nhược điểm và điều kiện phạm vi áp dụng.
image for page Phương pháp xây dựng cơ cấu tổ chức của một doanh nghiệp. Ưu, nhược điểm và điều kiện phạm vi áp dụng.
image for page Phương pháp xây dựng cơ cấu tổ chức của một doanh nghiệp. Ưu, nhược điểm và điều kiện phạm vi áp dụng.
image for page Phương pháp xây dựng cơ cấu tổ chức của một doanh nghiệp. Ưu, nhược điểm và điều kiện phạm vi áp dụng.
image for page Phương pháp xây dựng cơ cấu tổ chức của một doanh nghiệp. Ưu, nhược điểm và điều kiện phạm vi áp dụng.
image for page Phương pháp xây dựng cơ cấu tổ chức của một doanh nghiệp. Ưu, nhược điểm và điều kiện phạm vi áp dụng.
image for page Phương pháp xây dựng cơ cấu tổ chức của một doanh nghiệp. Ưu, nhược điểm và điều kiện phạm vi áp dụng.
image for page Phương pháp xây dựng cơ cấu tổ chức của một doanh nghiệp. Ưu, nhược điểm và điều kiện phạm vi áp dụng.
image for page Phương pháp xây dựng cơ cấu tổ chức của một doanh nghiệp. Ưu, nhược điểm và điều kiện phạm vi áp dụng.
image for page Phương pháp xây dựng cơ cấu tổ chức của một doanh nghiệp. Ưu, nhược điểm và điều kiện phạm vi áp dụng.
image for page Phương pháp xây dựng cơ cấu tổ chức của một doanh nghiệp. Ưu, nhược điểm và điều kiện phạm vi áp dụng.
image for page Phương pháp xây dựng cơ cấu tổ chức của một doanh nghiệp. Ưu, nhược điểm và điều kiện phạm vi áp dụng.
Ưu, điểm cơ cấu dựng tổ Phương pháp chức xây dựng kiện Phương pháp xây dựng cơ cấu tổ nghiệp. xây điều nhược doanh nghiệp. Phương pháp xây dựng áp của một của Phương pháp vi Phương một Phương pháp xây điểm và phạm phạm vi áp dụng. điều kiện cấu Phương pháp xây dựng cơ dụng. tổ chức pháp Phương pháp xây dựng cơ cấu Ưu, nhược doanh

Mã tài liệu 90807

Các chức năng trên hệ thống được hướng dẫn đầy đủ và chi tiết nhất qua các video. Bạn click vào nút bên dưới để xem.

Có thể tài liệu Phương pháp xây dựng cơ cấu tổ chức của một doanh nghiệp. Ưu, nhược điểm và điều kiện phạm vi áp dụng. sử dụng nhiều loại font chữ mà máy tính bạn chưa có.
Bạn click vào nút bên dưới để tải chương trình cài đặt bộ font chữ đầy đủ nhất cho bạn.

Nếu phần nội dung, hình ảnh ,... trong tài liệu Phương pháp xây dựng cơ cấu tổ chức của một doanh nghiệp. Ưu, nhược điểm và điều kiện phạm vi áp dụng. có liên quan đến vi phạm bản quyền, bạn vui lòng click bên dưới báo cho chúng tôi biết.

Tài liệu vừa xem

Phương pháp
Phương pháp xây
Phương pháp xây dựng
Phương pháp xây dựng cơ cấu
Phương pháp xây dựng cơ cấu tổ
Phương pháp xây dựng cơ