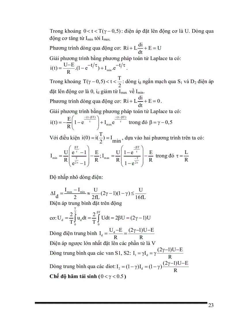
Thiết kế bộ băm xung một chiều có đảo chiều theo nguyên tắc đối xứng để điều chỉnh tốc độ động cơ một chiều kích từ nam châm vĩnh cửu với số liệu cho trước

Thiết kế bộ băm xung một chiều có đảo chiều theo nguyên tắc đối xứng để điều chỉnh tốc độ động cơ một chiều kích từ nam châm vĩnh cửu với số liệu cho trước

Tài liệu "Thiết kế bộ băm xung một chiều có đảo chiều theo nguyên tắc đối xứng để điều chỉnh tốc độ động cơ một chiều kích từ nam châm vĩnh cửu với số liệu cho trước" có mã là 255566, file định dạng pdf, có 65 trang, dung lượng file 847 kb. Tài liệu thuộc chuyên mục: Luận văn đồ án > Kỹ thuật - Công nghệ > Kỹ thuật điện - điện tử. Tài liệu thuộc loại Bạc

image for page Thiết kế bộ băm xung một chiều có đảo chiều theo nguyên tắc đối xứng để điều chỉnh tốc độ động cơ một chiều kích từ nam châm vĩnh cửu với số liệu cho trước
image for page Thiết kế bộ băm xung một chiều có đảo chiều theo nguyên tắc đối xứng để điều chỉnh tốc độ động cơ một chiều kích từ nam châm vĩnh cửu với số liệu cho trước
image for page Thiết kế bộ băm xung một chiều có đảo chiều theo nguyên tắc đối xứng để điều chỉnh tốc độ động cơ một chiều kích từ nam châm vĩnh cửu với số liệu cho trước
image for page Thiết kế bộ băm xung một chiều có đảo chiều theo nguyên tắc đối xứng để điều chỉnh tốc độ động cơ một chiều kích từ nam châm vĩnh cửu với số liệu cho trước
image for page Thiết kế bộ băm xung một chiều có đảo chiều theo nguyên tắc đối xứng để điều chỉnh tốc độ động cơ một chiều kích từ nam châm vĩnh cửu với số liệu cho trước
image for page Thiết kế bộ băm xung một chiều có đảo chiều theo nguyên tắc đối xứng để điều chỉnh tốc độ động cơ một chiều kích từ nam châm vĩnh cửu với số liệu cho trước
image for page Thiết kế bộ băm xung một chiều có đảo chiều theo nguyên tắc đối xứng để điều chỉnh tốc độ động cơ một chiều kích từ nam châm vĩnh cửu với số liệu cho trước
image for page Thiết kế bộ băm xung một chiều có đảo chiều theo nguyên tắc đối xứng để điều chỉnh tốc độ động cơ một chiều kích từ nam châm vĩnh cửu với số liệu cho trước
image for page Thiết kế bộ băm xung một chiều có đảo chiều theo nguyên tắc đối xứng để điều chỉnh tốc độ động cơ một chiều kích từ nam châm vĩnh cửu với số liệu cho trước
image for page Thiết kế bộ băm xung một chiều có đảo chiều theo nguyên tắc đối xứng để điều chỉnh tốc độ động cơ một chiều kích từ nam châm vĩnh cửu với số liệu cho trước
image for page Thiết kế bộ băm xung một chiều có đảo chiều theo nguyên tắc đối xứng để điều chỉnh tốc độ động cơ một chiều kích từ nam châm vĩnh cửu với số liệu cho trước
image for page Thiết kế bộ băm xung một chiều có đảo chiều theo nguyên tắc đối xứng để điều chỉnh tốc độ động cơ một chiều kích từ nam châm vĩnh cửu với số liệu cho trước
image for page Thiết kế bộ băm xung một chiều có đảo chiều theo nguyên tắc đối xứng để điều chỉnh tốc độ động cơ một chiều kích từ nam châm vĩnh cửu với số liệu cho trước
image for page Thiết kế bộ băm xung một chiều có đảo chiều theo nguyên tắc đối xứng để điều chỉnh tốc độ động cơ một chiều kích từ nam châm vĩnh cửu với số liệu cho trước
image for page Thiết kế bộ băm xung một chiều có đảo chiều theo nguyên tắc đối xứng để điều chỉnh tốc độ động cơ một chiều kích từ nam châm vĩnh cửu với số liệu cho trước
image for page Thiết kế bộ băm xung một chiều có đảo chiều theo nguyên tắc đối xứng để điều chỉnh tốc độ động cơ một chiều kích từ nam châm vĩnh cửu với số liệu cho trước
image for page Thiết kế bộ băm xung một chiều có đảo chiều theo nguyên tắc đối xứng để điều chỉnh tốc độ động cơ một chiều kích từ nam châm vĩnh cửu với số liệu cho trước
image for page Thiết kế bộ băm xung một chiều có đảo chiều theo nguyên tắc đối xứng để điều chỉnh tốc độ động cơ một chiều kích từ nam châm vĩnh cửu với số liệu cho trước
image for page Thiết kế bộ băm xung một chiều có đảo chiều theo nguyên tắc đối xứng để điều chỉnh tốc độ động cơ một chiều kích từ nam châm vĩnh cửu với số liệu cho trước
image for page Thiết kế bộ băm xung một chiều có đảo chiều theo nguyên tắc đối xứng để điều chỉnh tốc độ động cơ một chiều kích từ nam châm vĩnh cửu với số liệu cho trước
image for page Thiết kế bộ băm xung một chiều có đảo chiều theo nguyên tắc đối xứng để điều chỉnh tốc độ động cơ một chiều kích từ nam châm vĩnh cửu với số liệu cho trước
image for page Thiết kế bộ băm xung một chiều có đảo chiều theo nguyên tắc đối xứng để điều chỉnh tốc độ động cơ một chiều kích từ nam châm vĩnh cửu với số liệu cho trước
image for page Thiết kế bộ băm xung một chiều có đảo chiều theo nguyên tắc đối xứng để điều chỉnh tốc độ động cơ một chiều kích từ nam châm vĩnh cửu với số liệu cho trước
image for page Thiết kế bộ băm xung một chiều có đảo chiều theo nguyên tắc đối xứng để điều chỉnh tốc độ động cơ một chiều kích từ nam châm vĩnh cửu với số liệu cho trước
image for page Thiết kế bộ băm xung một chiều có đảo chiều theo nguyên tắc đối xứng để điều chỉnh tốc độ động cơ một chiều kích từ nam châm vĩnh cửu với số liệu cho trước
image for page Thiết kế bộ băm xung một chiều có đảo chiều theo nguyên tắc đối xứng để điều chỉnh tốc độ động cơ một chiều kích từ nam châm vĩnh cửu với số liệu cho trước
image for page Thiết kế bộ băm xung một chiều có đảo chiều theo nguyên tắc đối xứng để điều chỉnh tốc độ động cơ một chiều kích từ nam châm vĩnh cửu với số liệu cho trước
image for page Thiết kế bộ băm xung một chiều có đảo chiều theo nguyên tắc đối xứng để điều chỉnh tốc độ động cơ một chiều kích từ nam châm vĩnh cửu với số liệu cho trước
image for page Thiết kế bộ băm xung một chiều có đảo chiều theo nguyên tắc đối xứng để điều chỉnh tốc độ động cơ một chiều kích từ nam châm vĩnh cửu với số liệu cho trước
image for page Thiết kế bộ băm xung một chiều có đảo chiều theo nguyên tắc đối xứng để điều chỉnh tốc độ động cơ một chiều kích từ nam châm vĩnh cửu với số liệu cho trước
đảo chiều bộ chiều có Thiết kế bộ băm xung động theo nguyên với độ một một tắc đối cho băm đối đảo liệu với số Thiết kế bộ băm xung một xung một chiều chiều Thiết kế bộ chiều động cơ cửu tốc độ châm liệu cho xứng để số Thiết kế bộ băm một chiều điều chỉnh Thiết kế Thiết kế bộ băm xung một chiều trước tắc từ Thiết nam châm điều bộ băm kích kế chỉnh xung theo vĩnh kích từ để nam nguyên Thiết kế xứng vĩnh cửu tốc

Mã tài liệu 255566

Các chức năng trên hệ thống được hướng dẫn đầy đủ và chi tiết nhất qua các video. Bạn click vào nút bên dưới để xem.

Có thể tài liệu Thiết kế bộ băm xung một chiều có đảo chiều theo nguyên tắc đối xứng để điều chỉnh tốc độ động cơ một chiều kích từ nam châm vĩnh cửu với số liệu cho trước sử dụng nhiều loại font chữ mà máy tính bạn chưa có.
Bạn click vào nút bên dưới để tải chương trình cài đặt bộ font chữ đầy đủ nhất cho bạn.

Nếu phần nội dung, hình ảnh ,... trong tài liệu Thiết kế bộ băm xung một chiều có đảo chiều theo nguyên tắc đối xứng để điều chỉnh tốc độ động cơ một chiều kích từ nam châm vĩnh cửu với số liệu cho trước có liên quan đến vi phạm bản quyền, bạn vui lòng click bên dưới báo cho chúng tôi biết.

Tài liệu vừa xem

Thiết kế bộ băm xung
Thiết kế bộ
Thiết kế bộ băm xung một
Thiết kế
Thiết kế bộ băm
Thiết kế bộ băm xung một chiều