Đề thi Violympic Toán lớp 8 vòng 16 năm 2016 - 2017

Với vòng thi mới nhất của Đề thi Violympic Toán lớp 8 vòng 16 năm 2016 - 2017, Kho Tri Thức Số xin mời các em gia ôn tập trực tuyến một cách hiệu quả. Chúc các em làm bài thật tốt và đạt kết quả cao qua mỗi vòng thi!

Làm thêm: Đề thi Violympic Toán lớp 8 vòng 15 năm 2016 - 2017

  • Bài 1: 12 con giáp
    Câu 1: 
    Cho tam giác ABC, AD là tia phân giác của góc BAC (D thuộc BC), AB = 5cm, BC = 6cm, CA = 7cm. Khi đó độ dài đoạn thẳng BD là ....cm.
    Trả lời: ......
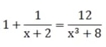
  • Câu 2:
    Số các số tự nhiên n thỏa mãn  là?
    Trả lời: ......
  • Câu 3:
    Giá trị x > 0 thỏa mãn phương trình  là x = ?
    Trả lời: ......
  • Câu 4:
    Số dư khi chia x6 + 10 cho x - 2 là bao nhiêu?
    Trả lời: ......
  • Câu 5:
    Một trường có 1500 học sinh trong đó có 35% học sinh đi xe bus đến trường. Số học sinh không đi xe bus đến trường là bao nhiêu học sinh? 
    Trả lời: ......
  • Câu 6:
    Cho các số a,b,c khác 0 thỏa mãn hệ thức a + b + c = 0. Rút gọn biểu thức  ta được kết quả là bao nhiêu? 
    Trả lời: ......
Lưu ý: Đăng nhập để có thể xem toàn bộ câu hỏi.

Các chức năng trên hệ thống được hướng dẫn đầy đủ và chi tiết nhất qua các video. Bạn click vào nút bên dưới để xem.

Nếu phần nội dung, hình ảnh ,... trong tài liệu Đề thi Violympic Toán lớp 8 vòng 16 năm 2016 - 2017 có liên quan đến vi phạm bản quyền, bạn vui lòng click bên dưới báo cho chúng tôi biết.

Gợi ý liên quan "Đề thi Violympic Toán lớp 8 vòng 16 năm 2016 - 2017"

Click xem thêm trắc nghiệm gần giống