Đề thi Violympic Toán lớp 9 vòng 12 năm 2015 - 2016

Mời các bạn học sinh lớp 9 thử sức với vòng thi 13 của Cuộc thi giải Toán qua mạng Violympic năm học 2015-2016 qua bài test Đề thi Violympic Toán lớp 9 vòng 12 năm 2015 - 2016 trên trang khotrithucso.com. Tham gia làm bài để làm quen với các dạng câu hỏi và đưa ra phương pháp ôn tập đúng đắn để đạt kết quả cao trong các vòng thi tiếp theo của cuộc thi nhé! Chúc các bạn thi tốt!

  • Bài 1: Cóc vàng tài ba
    Câu 1.1:
    Cho hàm số bậc nhất y = f(x) = ax - a - 4. Biết f(2) = 5.
    Khi đó f(1) = ...........
  • Câu 1.2:
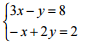
    Gọi (xo; yo)  là nghiệm của hệ phương trình  Đề thi violympic toán lớp 9
    Khi đó x+  yo = ..........
  • Câu 1.3:
    Cho phương trình 3x - y = 5 (1)
    Cặp (x; y) nào sau đây là nghiệm của (1):
  • Câu 1.4:
    Trên mặt phẳng tọa độ Oxy cho hai điểm A(-1; 0) và B(4; 0).
    Khoảng cách AB là:
  • Câu 1.5:
    Đường thẳng (d1): y  = f(x) = ax + b song song với đường thẳng (d2): y = 2x và đi qua điểm M(1; 4).
    Khi đó f(-3) = .......
  • Câu 1.6:
    Cho 3 đường thẳng (d1): y = 1; (d2): y = x + 2; và (d3): y = ax - 7.
    Để 3 đường thẳng trên đồng quy, khi đó a = ........
Lưu ý: Đăng nhập để có thể xem toàn bộ câu hỏi.

Các chức năng trên hệ thống được hướng dẫn đầy đủ và chi tiết nhất qua các video. Bạn click vào nút bên dưới để xem.

Nếu phần nội dung, hình ảnh ,... trong tài liệu Đề thi Violympic Toán lớp 9 vòng 12 năm 2015 - 2016 có liên quan đến vi phạm bản quyền, bạn vui lòng click bên dưới báo cho chúng tôi biết.

Gợi ý liên quan "Đề thi Violympic Toán lớp 9 vòng 12 năm 2015 - 2016"

Click xem thêm trắc nghiệm gần giống