Đề thi Violympic Toán lớp 9 vòng 17 năm 2015 - 2016

Vòng 17 của Cuộc thi giải Toán qua mạng năm 2015 - 2016 bắt đầu mở từ ngày 23/03/2016. Mời quý thầy cô và các bạn học sinh lớp 9 tham khảo bài test Đề thi Violympic Toán lớp 9 vòng 17 năm 2015 - 2016 trên trang khotrithucso.com. Tham gia làm bài để đánh giá trình độ kiến thức của mình và ôn luyện cho vòng thi tiếp theo nhé!

Mời các bạn tiếp tục thử sức với vòng 18: Đề thi Violympic Toán lớp 9 vòng 18 năm 2015 - 2016

  • Bài 1: Vượt chướng ngại vật
    Câu 1.1:
    Cho hàm số y = ax2 có đồ thị là (P). Để (P) cắt đường thẳng (d): y = 2x + 3 tại điểm có tung độ là 1 thì giá trị của a = ......
  • Câu 1.2:
    Cho đường tròn (O; R = 6cm). Từ điểm M cách O một khoảng 2R kẻ 2 tiếp tuyến MA, MB với đường tròn (O) (A, B là 2 tiếp điểm). Bán kính đường tròn nội tiếp tam giác MAB có độ dài là ....cm.
  • Câu 1.3:
    Cho đường thẳng (d): y = 2x - 3 và parabol (P): y = -x2 cắt nhau tại 2 điểm M và N. Khoảng cách MN = √a (đvđd). Vậy a = ......
  • Câu 1.4:
    Cho biểu thức: Đề thi violympic toán lớp 9 vòng 17
    Để A nguyên dương thì giá trị nhỏ nhất của x = .............
  • Câu 1.5:

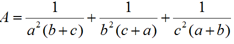
    Cho a, b, c là 3 số thực dương thỏa mãn abc = 1.
    Giá trị nhỏ nhất của biểu thức Đề thi violympic Toán lớp 9 vòng 17 là: ............

Lưu ý: Đăng nhập để có thể xem toàn bộ câu hỏi.

Các chức năng trên hệ thống được hướng dẫn đầy đủ và chi tiết nhất qua các video. Bạn click vào nút bên dưới để xem.

Nếu phần nội dung, hình ảnh ,... trong tài liệu Đề thi Violympic Toán lớp 9 vòng 17 năm 2015 - 2016 có liên quan đến vi phạm bản quyền, bạn vui lòng click bên dưới báo cho chúng tôi biết.

Gợi ý liên quan "Đề thi Violympic Toán lớp 9 vòng 17 năm 2015 - 2016"

Click xem thêm trắc nghiệm gần giống