Đề thi Violympic Toán Tiếng Anh lớp 8 vòng 10 năm 2015 - 2016

Vòng thi quốc gia của Cuộc thi giải Toán Tiếng Anh qua mạng năm 2015 - 2016 đã bắt đầu mở từ ngày 08/04/2016. Mời các bạn học sinh lớp 8 tham gia làm bài test Đề thi Violympic Toán Tiếng Anh lớp 8 vòng 10 năm 2015 - 2016 trên trang khotrithucso.com để thử sức với vòng thi này. Chúc các bạn làm bài tốt!

Mời các bạn tham khảo thêm:

  • Exam number 1: Đỉnh núi trí tuệ
    Question 1:
    If a + b = 3, a2 + b2 = 7 then a3 + b3 = ..........
    Answer: ...............
  • Question 2:

    Find the value of k such that x3 + kx2 + (4 - k)x - 35 is divisible by x - 7.
    Answer: k = ........

  • Question 3:
    An isosceles trapezoid ABCD is shown in the following diagram. What is the area of the trapezoid ABCD?
    Đề thi violympic toán tiếng anh lớp 8 vòng 10

    Figure is not drawn to scale.
    Answer: The area of the trapezoid is ..........cm2.

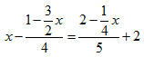
  • Question 4:

    Find the value of x such that:
    Đề thi violympic toán tiếng anh lớp 8 vòng 10
    Answer: x = ...............

  • Question 5:

    Let ABCD be a trapezoid with AB // CD, Â = D = 90o and AB = AD = CD/2.
    Find the measure of the angle BCD.
    Answer: BCD = ..........o.

  • Question 6:

    Let ABCD.A'B'C'D' be a cube with AC' = √3cm. Find the total surface area of this cube.
    Answer: ..........cm2.

  • Question 7:

    Bottle A contains 15% syrup. Bottle B contains 40% syrup. When these 2 bottles of syrup are mixed, the syrup content is 30% and the total volume is 600ml. How much syrup is in the bottle A at first?
    Answer: ..........ml.

Lưu ý: Đăng nhập để có thể xem toàn bộ câu hỏi.

Các chức năng trên hệ thống được hướng dẫn đầy đủ và chi tiết nhất qua các video. Bạn click vào nút bên dưới để xem.

Nếu phần nội dung, hình ảnh ,... trong tài liệu Đề thi Violympic Toán Tiếng Anh lớp 8 vòng 10 năm 2015 - 2016 có liên quan đến vi phạm bản quyền, bạn vui lòng click bên dưới báo cho chúng tôi biết.

Gợi ý liên quan "Đề thi Violympic Toán Tiếng Anh lớp 8 vòng 10 năm 2015 - 2016"

Click xem thêm trắc nghiệm gần giống