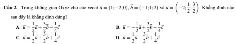
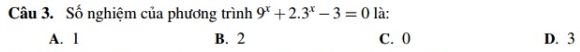
Đề thi thử môn toán 2017 trắc nghiệm dưới đây sẽ giúp các em học sinh có đề thi thử thpt Quốc Gia 2017 môn Toán để luyện tập, củng cố kiến thức. Xin mời các em học sinh tham gia ôn tập trực tuyến Đề thi thử THPT Quốc gia môn Toán trường THPT Kim Liên, Hà Nội năm 2017 lần 1 trên Kho Tri Thức Số. Các em hãy tập trung để làm bài thật tốt nhé. Chúc các em đạt điểm cao!










Các chức năng trên hệ thống được hướng dẫn đầy đủ và chi tiết nhất qua các video. Bạn click vào nút bên dưới để xem.
Nếu phần nội dung, hình ảnh ,... trong tài liệu Đề thi thử THPT Quốc gia môn Toán trường THPT Kim Liên, Hà Nội năm 2017 lần 1 có liên quan đến vi phạm bản quyền, bạn vui lòng click bên dưới báo cho chúng tôi biết.