Đề thi thử THPT Quốc gia năm 2016 môn Vật lý trường THPT Thuận Thành 1, Bắc Ninh (Lần 2)

Đề thi thử THPT Quốc gia năm 2016 môn Vật lý trường THPT Thuận Thành 1, Bắc Ninh (Lần 2) là tài liệu luyện thi hay và hữu ích cho các bạn học sinh tham gia ôn thi và thực hành làm các dạng bài thi hay ra trong kỳ thi THPT Quốc Gia. Sau đây mời các bạn cùng tham khảo!

Mời các bạn tham khảo thêm: Đề thi thử THPT Quốc gia môn Vật lý năm 2016 trường THPT Hưng Nhân, Thái Bình (Lần 3)

  • Câu 1:
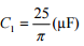
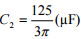
    Đặt điện áp xoay chiều u = U√2cos(100Πt) V vào đoạn mạch RLC nối tiếp. Biết R = 100√2Ω, tụ điện có điện dung thay đổi được. Khi điện dung tụ điện lần lượt là Đề thi thử THPT Quốc gia năm 2016 môn Vật lý trường THPT Thuận Thành 1, Bắc Ninh (Lần 2) và Đề thi thử THPT Quốc gia năm 2016 môn Vật lý trường THPT Thuận Thành 1, Bắc Ninh (Lần 2)thì điện áp hiệu dụng trên tụ có cùng giá trị. Để điện áp hiệu dụng trên điện trở R đạt cực đại thì giá trị của C có thể là:
  • Câu 2:
    Cho mạch điện gồm điện trở thuần và tụ điện mắc nối tiếp. Biết hiệu điện thế ở hai đầu điện trở là 40V và hiệu điện thế ở hai đầu cuộn cảm L và 30V. Hiệu điện thế hiệu dụng U ở hai đầu đoạn mạch có giá trị: là:
  • Câu 3:
    Một sóng lan truyền với tốc độ v = 200 m/s có bước sóng λ = 4 m. Chu kỳ dao động của sóng là
  • Câu 4:
    Một sóng cơ lan truyền trên mặt thoáng chất lỏng với tần số 20Hz, tốc độ truyền sóng là 2 m/s. Hai điểm M, N nằm trên mặt thoáng chất lỏng cách nhau 22,5cm (M nằm gần nguồn sóng hơn). Tại thời điểm t, điểm N hạ xuống thấp nhất. Thời gian sau đó điểm M hạ xuống thấp nhất lần thứ 2015 là
  • Câu 5:
    Trong một phòng nghe nhạc , tại một vị trí có mức cường độ âm tạo ra từ nguồn là 75dB , mức cường độ âm phản xạ ở bức tường phía sau là 72dB (bức tường không hấp thụ âm ). Mức cường độ âm toàn phần tại vị trí đó gần giá trị nào nhất sau đây
  • Câu 6:
    Đặt một điện áp u = Uocosωt vào hai đầu một đoạn mạch điện chỉ có tụ điện. Nếu điện dung của tụ điện không đổi thì dung kháng của tụ điện
  • Câu 7:
    Đặt điện áp xoay chiều Đề thi thử THPT Quốc gia năm 2016 môn Vật lý trường THPT Thuận Thành 1, Bắc Ninh (Lần 2) vào hai đầu đoạn mạch AB như hình bên. Biết R = r. Đồ thị biểu diễn điện áp uAN và uMB như hình vẽ bên cạnh. Giá trị Uo bằng:
    Đề thi thử THPT Quốc gia năm 2016 môn Vật lý trường THPT Thuận Thành 1, Bắc Ninh (Lần 2)
  • Câu 8:
    Một dòng điện xoay chiều có biểu thức i = 5cos100Πt (A) chạy qua điện trở thuần bằng 10Ω. Công suất toả nhiệt trên điện trở đó là
  • Câu 9:
    Một mạch dao động bắt tín hiệu của một máy thu vô tuyến điện gồm cuộn cảm L = 30 μH, điện trở không đáng kể và một tụ điện điều chỉnh được. Để bắt được sóng vô tuyến có bước sóng 120 m thì điện dung của tụ điện có giá trị
  • Câu 10:

    Quang phổ liên tục phát ra bởi hai vật khác nhau thì

Lưu ý: Đăng nhập để có thể xem toàn bộ câu hỏi.

Các chức năng trên hệ thống được hướng dẫn đầy đủ và chi tiết nhất qua các video. Bạn click vào nút bên dưới để xem.

Nếu phần nội dung, hình ảnh ,... trong tài liệu Đề thi thử THPT Quốc gia năm 2016 môn Vật lý trường THPT Thuận Thành 1, Bắc Ninh (Lần 2) có liên quan đến vi phạm bản quyền, bạn vui lòng click bên dưới báo cho chúng tôi biết.

Gợi ý liên quan "Đề thi thử THPT Quốc gia năm 2016 môn Vật lý trường THPT Thuận Thành 1, Bắc Ninh (Lần 2)"

Click xem thêm trắc nghiệm gần giống