Đề thi Violympic Toán lớp 7 vòng 16 năm 2014 - 2015

Vòng 16 của Cuộc thi giải Toán qua mạng sẽ bắt đầu mở từ ngày 12/03/2016. Mời các bạn học sinh lớp 7 tham gia làm bài test Đề thi Violympic Toán lớp 7 vòng 16 năm 2014 - 2015 trên trang khotrithucso.com để ôn tập và rèn luyện, chuẩn bị đầy đủ kiến thức cho vòng thi tiếp theo này. Đừng quên tham khảo phần đáp án cuối bài thi để tìm ra câu trả lời đúng nhất nhé!

Ngoài ra các bạn có thể tham khảo thêm bài test: Luyện thi Violympic Toán lớp 7 vòng 16 năm 2015 - 2016

  • Bài 1: Hãy điền số thích hợp vào chỗ chấm.
    Câu 1.1:
    Ba lớp 7A, 7B, 7C trồng được 120 cây. Biết số cây trồng được của mỗi lớp lần lượt tỉ lệ với 3 : 4 : 5.
    Số cây lớp 7A trồng được là .......... cây.
  • Câu 1.2:
    Chữ số tận cùng của A = 20142015 - 20152014 là: ...........
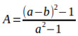
  • Câu 1.3:
    Giá trị của biểu thức Đề thi Violympic Toán lớp 7 vòng 16với a = 1,25; b = 0,25 là A = .........
  • Câu 1.4:
    Giá trị của x thỏa mãn IxI = 2015 và x< 0 là x = ............
  • Câu 1.5:
    Cho đa thức f(x) = ax + b biết f(1) = 1; f(2) = 4.
    Khi đó (a; b) = (.........)
Lưu ý: Đăng nhập để có thể xem toàn bộ câu hỏi.

Các chức năng trên hệ thống được hướng dẫn đầy đủ và chi tiết nhất qua các video. Bạn click vào nút bên dưới để xem.

Nếu phần nội dung, hình ảnh ,... trong tài liệu Đề thi Violympic Toán lớp 7 vòng 16 năm 2014 - 2015 có liên quan đến vi phạm bản quyền, bạn vui lòng click bên dưới báo cho chúng tôi biết.

Gợi ý liên quan "Đề thi Violympic Toán lớp 7 vòng 16 năm 2014 - 2015"

Click xem thêm trắc nghiệm gần giống