Luyện thi Violympic Toán lớp 9 vòng 16 năm 2015 - 2016

Vòng thi 16 của Cuộc thi giải Toán qua mạng năm 2015 - 2016 sẽ bắt đầu mở từ ngày 11/03/2016. Mời các bạn tham gia làm bài test Luyện thi Violympic Toán lớp 9 vòng 16 năm 2015 - 2016 trên trang khotrithucso.com để làm quen với dạng đề cũng như dạng câu hỏi và đưa ra phương pháp ôn tập đúng đắn, hiệu quả. Chúc các bạn ôn tập tốt!

  • Bài 1: Hãy điền số thích hợp vào chỗ chấm.
    Câu 1.1:
    Nghiệm lớn nhất của phương trình x- 29x+ 100 = 0 là x = ............
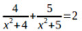
  • Câu 1.2:
    Nghiệm của phương trình:  là x = ...........
  • Câu 1.3:
    Một hình trụ có diện tích xung quanh là 80π cm2 và thể tích là 160π cm2.
    Bán kính đáy của hình trụ này là R = ........... cm.
  • Câu 1.4:
    Khi phương trình x2 - 3x + m = 0 có một nghiệm là x = 1,25 thì nghiệm còn lại của phương trình là x = ...............
Lưu ý: Đăng nhập để có thể xem toàn bộ câu hỏi.

Các chức năng trên hệ thống được hướng dẫn đầy đủ và chi tiết nhất qua các video. Bạn click vào nút bên dưới để xem.

Nếu phần nội dung, hình ảnh ,... trong tài liệu Luyện thi Violympic Toán lớp 9 vòng 16 năm 2015 - 2016 có liên quan đến vi phạm bản quyền, bạn vui lòng click bên dưới báo cho chúng tôi biết.

Gợi ý liên quan "Luyện thi Violympic Toán lớp 9 vòng 16 năm 2015 - 2016"

Click xem thêm trắc nghiệm gần giống