Đề thi thử THPT Quốc gia môn Sinh học năm 2016 Trường PTDT Nội trú Thái Nguyên

Mời các bạn tham khảo bài test Đề thi thử THPT Quốc gia môn Sinh học năm 2016 Trường PTDT Nội trú Thái Nguyên trên trang khotrithucso.com để củng cố và hệ thống kiến thức, chuẩn bị cho kì thi quan trọng sắp tới nhé! Chúc các bạn có một mùa thi thành công!

  • Câu 1:

    Ở một loài thực vật lưỡng bội, alen A quy định cây cao trội hoàn toàn so với alen a quy định cây thấp. Alen B quy định hoa đỏ trội hoàn toàn so với alen b quy định hoa vàng. Cho 3 cây thân thấp, hoa đỏ (P) tự thụ phấn, thu được F1. Biết rằng không có đột biến xảy ra. Theo lí thuyết, trong các trường hợp về tỉ lệ kiểu hình sau đây, có tối đa bao nhiêu trường hợp phù hợp với tỉ lệ kiểu hình của F1?
    (1) 3 cây thân thấp, hoa đỏ : 1 cây thân thấp, hoa vàng.
    (2) 5 cây thân thấp, hoa đỏ : 1 cây thân thấp, hoa vàng.
    (3) 100% cây thân thấp, hoa đỏ.
    (4) 11 cây thân thấp, hoa đỏ : 1 cây thân thấp, hoa vàng.
    (5) 7 cây thân thấp, hoa đỏ : 1 cây thân thấp, hoa vàng.

  • Câu 2:

    Cho các bệnh, tật và hội chứng di truyền sau đây ở người:(1) Ung thư máu; (2) Đao; (3) Pheninketô niệu; (4) Tocnơ; (5) Máu khó đông; (6) Claiphenter.
    Có bao nhiêu bệnh, tật và hội chứng di truyền có thể gặp ở cả hai giới?

  • Câu 3:

    Ở một loài thực vật, tính trạng màu sắc hoa do một cặp gen quy định, tính trạng hình dạng quả do 1 cặp gen khác quy định. Cho cây hoa đỏ, quả tròn thuần chủng giao phấn với cây hoa vàng, quả bầu dục thuần chủng (P), thu được F1 gồm 100% cây hoa đỏ, quả tròn. Cho các cây F1 tự thụ phấn, thu được F2 gồm 4 loại KH, trong đó cây hoa đỏ, quả bầu dục chiếm tỉ lệ 9%. Biết rằngtrong quá trình phát sinh giao tử đực và giao tử cái đều xảy ra hoán vị với tần số như nhau. Trong các kết luận sau, có bao nhiêu kết luận đúng với phép lai trên?
    (1) F1 xảy ra HVG với tần số 20%
    (2) F2 có 5 loại KG cùng quy định KH hoa đỏ, quả tròn
    (3) Ở F2, số cá thể có KG giống KG của F1 chiếm tỉ lệ 50%
    (4) F2 có 10 loại KG
    (5) Tỉ lệ KH mang 2 tính trạng trội ở F2 là 66%

  • Câu 4:

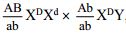
    Cho biết mỗi cặp tính trạng do một cặp gen quy định và trội hoàn toàn. Tần số hoán vị giữa A và B là 20%. Ở phép lai: Đề thi thử THPT Quốc gia môn Sinh học năm 2016 trường PTDT Nội trú Thái Nguyên, theo lí thuyết thì kiểu hình aaB-D- ở đời con chiếm tỉ lệ:

  • Câu 5:

    Một loài thực vật có bộ nhiễm sắc thể 2n = 6. Trên mỗi cặp NST, xét một gen có hai alen. Do đột biến, trong loài đã xuất hiện 3 dạng thể ba tương ứng với các cặp NST. Theo lí thuyết, các thể ba này có tối đa bao nhiêu loại kiểu gen về các gen đang xét?

  • Câu 6:

    Khi đánh cá, nếu nhiều mẻ lưới đều có tỉ lệ cá lớn chiếm ưu thế, cá bé rất ít thì ta hiểu rằng:

  • Câu 7:

    Sự quần tụ giúp cho sinh vật:

    1 - dễ dàng săn mồi và chống kẻ thù được tốt hơn.
    2 - dễ kết cặp trong mùa sinh sản
    3 - chống chịu các điều kiện bất lợi về khí hậu.
    4 - có sức khỏe tốt hơn sống đơn độc.
    Phương án đúng:

  • Câu 8:

    Cho sơ đồ phả hệ sau:

    Đề thi thử THPT Quốc gia môn Sinh học năm 2016 trường PTDT Nội trú Thái Nguyên

    Sơ đồ phả hệ trên mô tả sự di truyền của một bệnh ở người do một trong hai alen của một gen quy định. Biết rằng không xảy ra đột biến ở tất cả các cá thể trong phả hệ. Xác suất để cặp vợ chồng ở thế hệ III trong phả hệ này sinh ra đứa con gái bị mắc bệnh và con trai bình thường là:

  • Câu 9:

    Trong quá trình phát triển của loài, ổ sinh thái của loài bị thu hẹp chủ yếu là do tác đông của mối quan hệ:

  • Câu 10:

    Nuôi ruồi giấm ở môi trường có nhiệt độ 250C thì thời gian thế hệ là 10 ngày. ở môi trường có nhiệt độ 180C thì thời gian thế hệ là 17 ngày. Tổng nhiệt cho một chu kỳ phát triển của ruồi giấm là:

Lưu ý: Đăng nhập để có thể xem toàn bộ câu hỏi.

Các chức năng trên hệ thống được hướng dẫn đầy đủ và chi tiết nhất qua các video. Bạn click vào nút bên dưới để xem.

Nếu phần nội dung, hình ảnh ,... trong tài liệu Đề thi thử THPT Quốc gia môn Sinh học năm 2016 Trường PTDT Nội trú Thái Nguyên có liên quan đến vi phạm bản quyền, bạn vui lòng click bên dưới báo cho chúng tôi biết.

Gợi ý liên quan "Đề thi thử THPT Quốc gia môn Sinh học năm 2016 Trường PTDT Nội trú Thái Nguyên"

Click xem thêm trắc nghiệm gần giống